Creating Atom Mappings#

Atom Mapping objects are used to define the relationship between components from different ChemicalSystems. This guide will show how Atom Mappings can describe the transformation between a pair of ligands.

Generating Mappings#

The LigandAtomMapper takes pairs of openfe.SmallMoleculeComponents and returns zero (in the case that no mapping can be found) or more possible mappings.

Built in to the openfe package are bindings to the Lomap package, including the openfe.setup.LomapAtomMapper, which uses an MCS approach based on RDKit.

This is how we can create a mapping between two ligands:

import openfe
from openfe import setup

# as previously detailed, load a pair of ligands
m1 = SmallMoleculeComponent(...)
m2 = SmallMoleculeComponent(...)

# first create an atom mapper
mapper = setup.LomapAtomMapper(threed=True)
# this returns an iterable of possible mappings
mapping_gen = mapper.suggest_mappings(m1, m2)
# extract all possible mappings into a list
mappings = list(mapping_gen)
# Lomap always produces a single Mapping, so extract it from the list
mapping = mappings[0]

The two molecules passed into the suggest_mappings() method are then referred to as componentA and componentB (in the above example, m1 is componentA and m2 is componentB).

The atom mapping can be accessed through the componentA_to_componentB attribute, which returns a dictionary where keys refer to the indices of atoms in the “A” component, and values refer to indices of atoms in the “B” component. If a given index does not appear, then it is unmapped.

Note

Like the Component objects, a Mapping object is immutable once created!

Visualising Mappings#

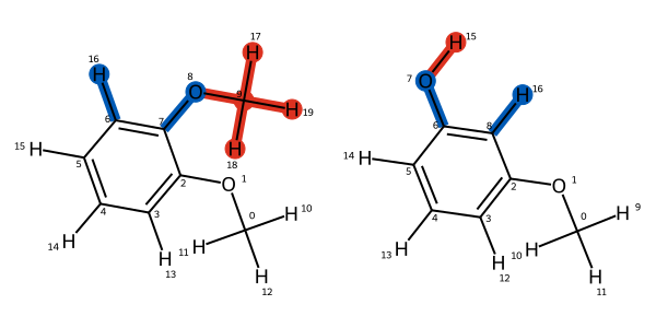
In an interactive notebook we can view a 2D representation of the mapping. In this view, atoms that are deleted are coloured red, while atoms that undergo an elemental transformation are coloured blue. Similarly, bonds that are deleted are coloured red, while bonds that change (either bond order change or element change), are coloured blue.

Sample output of 2d mapping visualisation

These 2D mappings can be saved to file using the LigandAtomMapping.draw_to_file() method.

With the py3dmol package, we can inspect the spatial overlap of the mapping in 3D. In a notebook, this produces an interactive rotatable view of the mapping. The left and rightmost views show the “A” and “B” molecules with coloured spheres on each showing the correspondence between atoms. The centre view shows both molecules overlaid, allowing the spatial correspondence to be directly viewed.

from openfe.utils import visualization_3D

view = mapping.view_3d()
Sample output of view_3d() function

The cartesian distance between pairs of atom mapping is also available via the get_distances() method. This returns a numpy array.

mapping.get_distances()

Scoring Mappings#

Mapping scorers, or “scoring functions”, evaluate the quality of an atom mapping and can be used as objective functions for optimizing ligand networks. Scorers take a LigandAtomMapping object and return a value from 0.0 (indicating a terrible mapping) to 1.0 (indicating a great mapping).

Because scorers are normalized, it is possible to use multiple scorers together. For example, the built-in Lomap scorer default_lomap_score() combines several criteria (such as the number of heavy atoms, if certain chemical changes are present, and if ring sizes are being mutated), into a single value. It is possible to combine scoring functions in this way because each scoring function returns a normalized value.

from openfe.setup.lomap_scorers

mapping = next(mapper.suggest_mappings(m1, m2))

score = lomap_scorers.default_lomap_scorer(mapping)